4399生死狙击是款无插件真3D第一人称射击(FPS)网页游戏,爽快打击和华丽3D视效的枪战风格,打开网页,即可感受枪林弹雨的枪战乐趣。==点击进入官网>>
为了让玩家们能体验到新的游戏内容, 享受到更加精彩的游戏体验,4399生死狙击将于1月13日16:00开始,对双线一区、电信一区进行停机更新操作,本次更新维护预计1月13日18:00结束,如遇特殊情况,将会提前或者顺延。请各位玩家互相转告,并留意游戏时间,以免造成不必要的损失。
注:
1、请此次没有更新区服的玩家耐心等待,工作人员后续会陆续对剩余区服进行更新操作,具体时间还请留意公告。
2、所有区服交易所、冒险活动、天梯联赛、跨服频道、王者乱斗、冒险转生、极限演练等跨服模式/系统将会暂时关闭进行优化,预计将于全服更新完成后开启。
3、以下版本内容均为预告,详情请以游戏中体验为准。
本次版本更新主要内容有:配件狙击枪-浮光、全新冒险玩法-元素使者、新增角色-紫阎、翅膀-降罪、附魔工厂、境界突破、遗落秘境均迎来全新升级,快速租赁、创建房间全面优化,还有王者乱斗等诸多内容等你探索
新增内容
1、新增武器
新增英雄级配件狙击枪-浮光
具有以下特性
【聚能狙击】团队、爆破模式下:右键开镜后,两侧视野边缘将显示蓄力条,并自动开始蓄能。蓄力进度达到不同阶段时,左键射击将发射出威力更强的子弹。退出瞄准镜状态将重置蓄力进度。
【配件改装】可安装4种配件,提升武器属性
[1级配件]团队、爆破模式下:关镜后蓄力进度随时间衰减。大头、变异、挑战、冒险模式下:左键发射“浮光弹”拖尾,短时间内连续对同一目标造成伤害,将自动回复弹药。
[2级配件]大头、变异、挑战、冒险模式下:按E键激活”浮光强化“状态。状态持续期间显示蓄力条。长按左键攻击时会同步积累充能进度;当充能进度处于高能区间时松开左键,将发射一道高能激光,造成瞬间范围伤害,并在触发后清空充能。高能激光命中后,会产生折射激光,自动追踪并攻击视野内的另一名敌人。若在非高能区间松开左键,进度将自动衰减而不归零。
[3级配件]大头、变异、挑战、冒险模式下:E技能期间,武器本体每次触发折射激光时,将在武器周围生成一枚浮游炮,存在数量及持续时间上限,超出上限时刷新存续时间。浮游炮随玩家左键普通攻击同步开火。玩家释放高能激光时,所有浮游炮将依次发射高能激光。浮游炮高能激光命中后会生成浮游炮折射激光,自动追踪攻击视野内的另一名敌人。武器本体或浮游炮的折射激光命中敌人时,将自动恢复弹药。
[4级配件]大头、变异、挑战、冒险模式下:E技能期间当浮游炮数量达到上限时,蓄力至高能区间将自动触发高能激光并重置进度。可按E键消耗能量/生命值生成一枚浮游炮。短时间内对同一目标多次造成射激光伤害将回复生命值。变异模式下当前背包装备该武器且身上持有浮游炮时,可抵挡一次感染或致命伤害,抵挡成功后消耗一枚浮游炮。变身变异体后:感染攻击被人类抵挡后,生成一枚浮游炮(对该变异体造成一定伤害即可摧毁浮游炮)自动攻击附近的敌人。
其它
黄金级投掷武器天平新增特性-命运天平:【一阶解锁】当前背包携带命运,触发盈仄时,对比上次盈仄若只有命运的增伤变化,则此次盈仄不扣减E技能持续时间。
符文降低 万象伤害 词缀的出现概率
开放武器染色:凶神白虎、塞壬,可在武器个性化界面解锁染色
校准开放武器列表

武器个性化开放列表
玩家可通过此功能自由搭配皮肤外观和皮肤属性
若功能上线后相关武器出现皮肤装备异常,例如原先装备的皮肤被卸下了。进入该武器个性化界面重新装备武器外观即可
个性化功能入口:1、武器原皮肤按钮 2、武器展示界面-个性化

2、新增角色类物品
1、新增雷霆战警角色:紫阎
可解锁竞技天赋:冲击血清lv.1、无懈可击lv.3(固有)
获得后提升5000支援属性
冒险X技能-独往:紫阎向前竖劈一刀,获得一定时间增伤,命中的敌人越少,冷却时间越短(未命中敌人不减少)。

2、新增翅膀:降罪
该翅膀具有永久属性,可在翅膀改造界面进行强化

冒险模式
1、元素使者

元素使者 - 开放信息
功能开放时间:2026/01/23 更新后;
入口开放要求:佣兵等级到达15级。
元素使者 - 功能详情
元素使者具备【使者属性】和【玩家属性】;【使者属性】只于冒险模式关卡内生效;【玩家属性】为永久属性;
玩家可以通过升级、突破、升阶、使者精魄等途径获得【使者属性】、【玩家属性】以及【使者技能】等;
使者具有适用武器,可通过释放特定武器的主动技能,在局内进行使者召唤,并自动释放一次【使者技能】;
使者在场期间,【使者属性】将会增幅予玩家,直至使者持续时间结束;冷却CD结束后可重新召唤;
使者在场期间,若再次触发适用武器的主动技能,则会重置使者的在场持续时间。
元素使者 - 精魄
每个元素使者均可装备【精魄】,【精魄】可提供【使者属性】和【玩家属性】;
精魄功能将于后续版本推出,敬请期待。
元素使者 - 元素背包

元素使者可放置于元素背包中,分为【本体格】和【强化格】;
【本体格】需要元素背包中有足量格位才可放入;【强化格】则可放置于任何格位;
【强化格】可与武器重叠,重叠后武器对应的属性穿透值将会得到加强;一把武器可重叠多个【强化格】;
【强化格】右下角角标表示当前【强化格】重叠数量;
额外【强化格】可通过使者升阶获取。
元素使者 - 审判

审判适用武器:
万化无限 · 主宰
猩红
渊瞳
星珀(0,1,2阶)
巨阙(0,1,2阶)
瑶光(0,1,2阶)
天平(0,1,2阶)
命运(0,1,2阶)
断罪(0,1,2阶)
流影(0,1,2阶)
后续将根据版本内容对适用武器进行扩充
审判技能:
审判1阶后解锁【判决Lv.1】:召唤使者或重置使者在场持续时间后,即刻释放该技能;发射出1枚“封印球”,“封印球”飞行至视野半径100米内的单个敌方目标,并施加易伤;若有多枚“封印球”,则不会选取相同目标;“封印球”对命中的敌方目标施加易伤,可重复施加,重复被“封印球”命中则刷新易伤持续时间;目标选取后易伤不会转移;直至当前目标死亡后,易伤标记会自动转移至下个距离玩家最近的敌方目标,技能持续时间结束后,易伤效果标记消失。若玩家背包中拥有武器断罪任意0,1,2阶时,【判决Lv.1】将变为【判决Lv.2】。
【判决Lv.2】:召唤使者或重置使者在场持续时间后,即刻释放该技能;发射出1枚“封印球”,“封印球”飞至视野半径100米内的选中敌方目标上方3米处悬浮,将该目标半径10米范围内的所有敌方目标都施加易伤,每1秒施加一次,直至使者在场持续时间结束。若有多枚“封印球”,则不会选取相同目标;悬浮的 “封印球”在当前目标死后会转移至下个距离自己最近的目标;每一枚“封印球”对范围内的目标施加易伤,重复被“封印球”命中则刷新易伤持续时间。
审判2阶后解锁【廉明Lv.1】:召唤使者或重置使者在场持续时间后,即刻释放该技能;释放技能后获得能量强度基础加成X,X将从特定数值区间中获取,使者每重置一次在场时间后,数值区间的上限和下限均会提高,至多五次;能量强度加成只取最后一次取得的数值;技能持续时间结束后,数值区间将重置;使者每次重置在场时间时都会重置该技能持续时间。若玩家背包中拥有武器断罪任意0,1,2阶时,【判决Lv.1】将变为【判决Lv.2】。
【廉明Lv.2】:召唤使者或重置使者在场持续时间后,即刻释放该技能;其获得的各级别的能量强度数值区间上限和下限均得到提高。
3、附魔工厂境界附魔功能
皮肤的附魔等级上限提高,提高的部分需要达到对应境界后,才可进行境界限制部分的附魔;
皮肤境界附魔后将不可交易;
境界附魔额外消耗耀金颗粒;
境界附魔的等级可计入武器赋能和魔能突破的统计。
4、遗落秘境新增境界2木桩
遗落秘境内新增境界2木桩,现同时存在境界1境界2双木桩。
输出检测添加境界调整功能,可在玩法内按“+”键和“-”键调整。
调整后输出检测将只显示对应境界木桩的数据。
5、境界突破表现优化
优化境界玩家在冒险战斗内右上角的击败&被击败提示,可在提示处快速识别境界等级。
新增大厅各处境界玩家的标识和提示。
6、快速租赁优化&上新

优化【快速租赁】好友列表和战队列表显示功能,列表仅显示至少上架任一武器/挂饰的玩家名称。
新增玩家名称搜索功能,仅能搜索显示在列表中的玩家名称。
7、无尽角斗场新增专家6难度
新增无尽决斗场难度 —— 专家6
玩家在完美通关专家6难度可以获取黄金宝箱,开启后可以获取藏品角斗场专家6纪念币
玩家通关专家6难度时可以获得枪神核心IX
枪神核心IX可以开启对应枪神,并可以通过消耗材料获取大量属性
8、创建房间功能优化

在次元裂隙、主线等关卡中,可在创建加密房间功能中,不消耗加密房卡直接创建公共房间。
9、乱斗巅峰赛S4——决赛
巅峰赛 - 决赛
决赛时间:2026-01-16 10:00:00至2026-02-02 00:00:00;
决赛采用双败赛制,根据入围玩家的乱斗分数分为胜者组和败者组;
积分前八的玩家将进入胜者组,其余玩家进入败者组;
胜者组内失败的玩家将掉入败者组,败者组内玩家失败后将被淘汰;
胜者组和败者组的两位冠军将进入总决赛,角逐巅峰冠军。
决赛时间表如下:

巅峰赛 - 总决赛

胜者组和败者组的两位冠军将进入总决赛;
胜场数首先到达两场的玩家获得总决赛的胜利,成为巅峰总冠军;
巅峰赛 - 奖励
参与巅峰赛的玩家,可按最高晋级轮次获得巅峰巨龙之翼(期限),独特称号(期限),巅峰代币,王者祝福和体力药剂;
巅峰冠军更有巅峰巨龙之翼(永久)和独特实物奖励。
巅峰赛 - 武器禁用

本次禁用列表为黯水晶,撼天,天枢,玉衡,飞梭,风神;
所有玩家每轮比赛装配背包前,将对列表内武器进行禁用;
被禁用的所有同名武器在该轮比赛无法装备,次轮解锁;
玩家禁用的武器只影响自身背包装配;
本轮禁用武器后续无法再次禁用,所有待禁武器都被禁用过后刷新;
10、王者乱斗
1.赛季序号
2026年第1赛季(S96)
时间:周五开始周一结束
2026-01-16 00:05:00 2026- 02-09 22:00:00
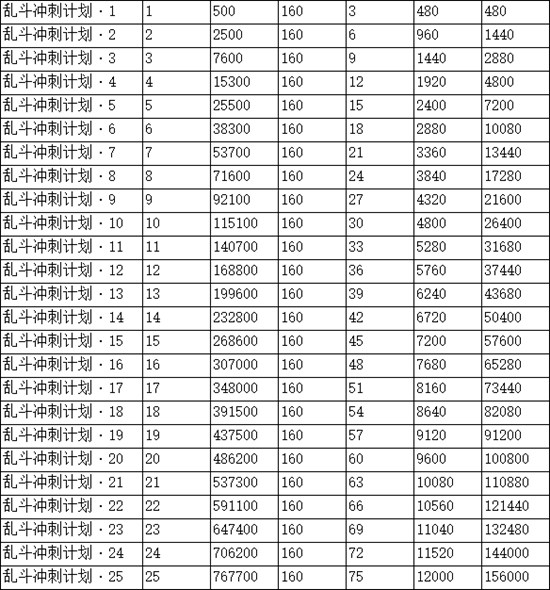
乱斗托管升级需求

2.模式:魔王之争
生命强化 1000000000%
生命提升 100000000
全强度提升500000
步枪强化50%
机枪强化50%
近战强化350%
3.奖励内容:
积分奖励:
26年1赛季纪念喷漆 (永久)
常规奖励通用进阶碎片、超越水晶2601A型
排名奖励:
26年1赛季黄金喷漆、万化无限·主宰终极强化石,枪神核心-乱斗,冠军的证明
常规奖励:碎片奖励替换为通用进阶碎片、超越水晶2601B型
4.强化石相关:
万化无限·主宰强化石上架商店
5.任务相关:

上一篇:生死狙击 12月16日16时电一、双一更新维护公告!
下一篇:没有了